角接触球轴承轴向载荷计算方法
角接触球轴承(Angular Contact Ball Bearings)可同时承受径向负荷和轴向负荷。能在较高的转速下工作。接触角越大,轴向承载能力越高。接触角为径 向平面内球和滚道的接触点连线与轴承轴线的垂直线间的角度。高精度和高速轴承通常取15度接触角。在轴向力作用下,接触角会增大。角接触球轴承轴向载荷计算是怎样的?今天小编就来具体介绍一下吧。
(1)根据安装方式判明内部轴向力 FS1、FS2的方向;
(2)判明轴向合力指向及轴可能移动的方向,分析哪端轴承被“压紧”,哪端轴承被“放松”;
(3)“放松”端的轴向载荷等于自身的内部轴向力, “压紧”端的轴向载荷等于除去自身内部轴向力外其它轴向力的代数和。
滚动轴承的静强度计算:
目的:防止在载荷作用下产生过大的塑性变形。
基本额定静载荷C0 :
滚动轴承受载后,在承载区内受力最大的滚动体与滚道接触处的接触应力达到一定值时的静载荷。
当轴承同时承受径向力和轴向力时,需折算成当量静载荷P0,应满足


例1、已知:S1=1175 N,S2=3290 N,FA=1020 N求:
Fa1、 Fa2。

解:
S2+FA = 3290+1020= 4310 >S1,
轴承Ⅰ被“压紧” ,轴承Ⅱ被“放松”
例2:某轴系部件采用一对7208AC滚动轴承支承,如图。
R1=5000N,R2=8000N,FA=2000N,e=0.68,求Fa1、Fa2。
解: ①由安装简图,轴承正装,
S1 、 S2 如图所示。
S1=0.68R1=0.68×5000=3400N
S2=0.68R2=0.68×8000=5440N
②求Fa1 , Fa2
∵ S1+FA=3400+2000=5400N< S2=5440N
∴轴承1被压紧
轴承2被放松
Fa1 =S2-FA=5440-2000=3440N
Fa2=S2=5440N
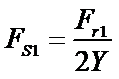
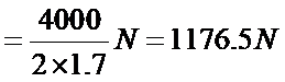
例3 某工程机械传动中轴承配置形式如图所示。已知:轴向外载荷FA=2000N,轴承径向载荷Fr1=4000N,Fr2=5000N.转速n=1500r/min,中等冲击,工作温度不超过100°,要求轴承预期寿命L’h=5000h.问采用30311轴承是否合适?

解:
1、计算轴承所受轴向载荷Fa
查手册30311轴承Y=1.7,e=0.35,C=152000N
由安装简图,轴承正装, FS1 、 FS2 如图所示。






扩展资料:
角接触球轴承保养方法:
1、当轴承运行到一定时期时(或保维护养期),将轴承全部撤下;
2、用清洗用的柴油或煤油浸泡清洗轴承,如有技术条件最好打开密封盖清洗;
3、清洗后空干清洗油,外观检查有无损伤;
4、用一个150mm左右,直径为角接触球轴承内径相等的木棒(最好为空心管),一端固定一个轴承;
5、用手快速转动轴承的同时,将木棒(木管)另一端顶在耳朵上或音频放大器话筒上辩听轴承转动噪音;
6、固定轴承后横向拨动木棒,检查轴承是否磨损松动现象;
7、松动严重、转动噪音过大、有严重缺损的FAG轴承应以淘汰,以同型号代之;
8、取一桶将适量润滑脂(优质黄干油)用文火融化(不可过热),将检测过的轴承放入桶中浸泡到无气泡溢出。润滑脂冷却前取出轴承,残留润滑脂量少。润滑脂冷却后取出角接触球轴承,残留润滑脂量多。根据需要确定润滑脂残留量的多少。
9、用软布或卫生纸擦净轴承外面的润滑脂将FAG轴承安原状装配到滑轮上,保养维护工作即告结束。
这里是一段可以自定义编辑的内容