电机的选型计算步骤【详细版】
电机选型需要计算工作扭矩、启动扭矩、负载转动惯量,其中工作扭矩和启动扭矩最为重要。
1工作扭矩Tb计算:
首先核算负载重量W,对于一般线形导轨摩擦系数μ=0.01,计算得到工作力Fb。
水平行走:Fb=μW
垂直升降:Fb=W
1.1齿轮齿条机构
一般齿轮齿条机构整体构造为电机+减速机+齿轮齿条,电机工作扭矩Tb的计算公式为:
![]()
其中D为齿轮直径。
1.2丝杠螺母机构
一般丝杠螺母机构整体构造为电机+丝杠螺母,电机工作扭矩Tb的计算公式为:

其中BP为丝杠导程;η为丝杠机械效率(一般取0.9~0.95,参考下式计算)。

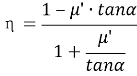
其中α为丝杠导程角;μ’为丝杠摩擦系数(一般取0.003~0.01,参考下式计算)。
![]()
其中β丝杠摩擦角(一般取0.17°~0.57°)。
2启动扭矩T计算:
启动扭矩T为惯性扭矩Ta和工作扭矩Tb之和。其中工作扭矩Tb通过上一部分求得,惯性扭矩Ta由惯性力Fa大小决定:
![]()
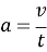
其中a为启动加速度(一般取0.1g~g,依设备要求而定,参考下式计算)。
![]()
其中v为负载工作速度;t为启动加速时间。
Ta计算方法与Tb计算方法相同。
3 负载转动惯量J计算:
系统转动惯量J总等于电机转动惯量JM、齿轮转动惯量JG、丝杠转动惯量JS和负载转动惯量J之和。其中电机转动惯量JM、齿轮转动惯量JG和丝杠转动惯量JS数值较小,可根据具体情况忽略不计,如需计算请参考HIWIN丝杠选型样本。下面详述负载转动惯量J的计算过程。
将负载重量换算到电机输出轴上转动惯量,常见传动机构与公式如下:

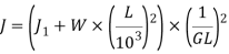
![]()
J:电机输出轴转动惯量(kg·m2)
W:可动部分总重量(kg)
BP:丝杠螺距(mm)
GL:减速比(≥1,无单位)
![]()
J:电机输出轴转动惯量(kg·m2)
W:可动部分总重量(kg)
D:小齿轮直径(mm)
链轮直径(mm)
GL:减速比(≥1,无单位)
![]()
J:电机输出轴转动惯量(kg·m2)
J1:转盘的转动惯量(kg·m2)
W:转盘上物体的重量(kg)
L:物体与旋转轴的距离(mm)
GL:减速比(≥1,无单位)
4 电机选型总结
电机选型中需引入安全系数,一般应用场合选取安全系数S=2。则电机额定扭矩应≥S·Tb;电机最大扭矩应≥S·T。同时满足负载惯量与电机惯量之间的比值≤推荐值。