链条联轴器型号大全
链条联轴器是利用公用的链条,同时于两个齿数相同的并列链轮啮合,不同结构型式的链条联轴器主要区别是采用不同链条,常见的有双排滚子链联轴器、单排滚子链联轴器、齿形链联轴器、尼龙链联轴器等。链条联轴器具有结构简单(四个件组成)、装拆方便、拆卸时不用移动被联接的两轴、尺寸紧凑、质量轻、有一定补偿能力、对安装精度要求不 高、工作可靠、寿命较长、成本较低等优点。可用于纺织、农机、起重运输、工程、矿山、轻工、化工等机械的轴系传动。适用于高温、潮湿和多尘工况环境,不适用于高速、有剧烈冲击载荷和传递轴向力的场合,链条联轴器应在良好的润滑并有防护罩的条件下工作结构简单、装拆方便。反转时有空行程,不宜用于冲击载荷很大的逆向传动。


联轴器故障形成的几个原因:
一、超载,联轴器使用超过负荷;
二、链条或链轮长时间使用过度磨损;
三、没有安装罩壳,链条锈蚀,断裂。
特点
链条联轴器具有结构简单(四个件组成)、装拆方便、拆卸时不用移动被联接的两轴、尺寸紧凑、质量轻、有一定补偿能力、对安装精度要求不高、工作可靠、寿命较长、成本较低等优点。
应用
滚子链联轴器 可用于纺织、农机、起重运输、工程、矿山、轻工、化工等机械的轴系传动,适用于高温、潮湿和多尘工况环境,不适用高速、有剧烈冲击载荷和传递轴向力的场合,链条联轴器应在良好的润滑并有防护罩的条件下工作。

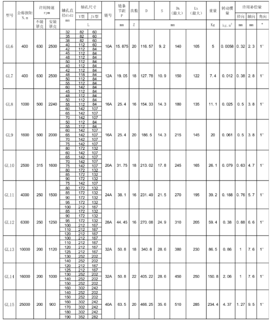
KC链条联轴器型号对照表

标记示例
例:GL8型滚子联轴器
主动端:Y型轴孔,B型键槽 d1=65mm,L1=142mm
从动端:Y型轴孔,B1型键槽 d2=65mm ,L1=112mm
GL8联轴器 YB65×142/YB1 65×112 GB6069-2002
例:KC5018链条联轴器
主动端:Z型轴孔,A型键槽 d1=25mm,L1=45mm
从动端:Y型轴孔,A型键槽 d2=38mm ,L1=45mm
KC5018联轴器 ZA25×45/YA38×45
文库 公称转矩
轴孔直径Tn
d1、d2
/N·m
L
L116、18、19
42-20523819
42-20、22、24523820、22、24
523825624424
52-25、28624430、32
826028
62-30、32、35
、38
826440
1128432、35、38
82
60
不装罩壳
安装罩壳
Y型J1型链号
链条节距
GL14014004500型号
许用转速[n]/r·min-1
轴孔长度
06B9.52506B9.525GL3
100
1000
4000
GL26312504500GL4
160
1000
4000
08B
12.7
08B
12.7
10A
15.875
GL5
250
800
3150
15.875
40、42、45、48、501128440、42、45、48、50、55
1128460
14210745、48、50、551128460、65、7014210750、551128460、65、70、75
14210780
17213260、65、70、7514210780、85、90
17213275
14216780、85、90、95
172132100
21216785、90、95
172167100、110、120
212202100、110、120、125212167130、140252202120、125212167130、140、150
252202160
302242140、150252202160、170、180
302242190
352
282
15.875
GL64006302500
10A12A19.05
GL7630630250025.4
GL81000500224016A16A25.4
GL1025003151600GL916004002000GL114000250150020A31.75
GL1263002501250
24 A38.1
GL13100002001120
28A44.45
GL1416000200100032 A50.8
32 A50.8
40 A63.5