同步带传动转动惯量计算教程【详】
转动惯量(Moment of Inertia)是刚体绕轴转动时惯性(回转物体保持其匀速圆周运动或静止的特性)的量度,用字母I或J表示。转动惯量在旋转动力学中的角色相当于线性动力学中的质量,可形象地理解为一个物体对于旋转运动的惯性。在负载加速和减速的过程中,惯量是一个非常重要的参数,因此在运动控制中需要非常熟练的掌握常用传动机构的惯量计算方法。
本文整理了各种常见机构的惯量计算方法,给出两种应用案例中,雷赛伺服电机选型计算例题。
1 伺服驱动系统中,常见5种传动机构的负载惯量计算方法
1.1常见物体惯量计算
模型1
长为L的细棒,旋转中心通过细棒的中心并与细棒垂直,如下图所示。

在棒上离轴x处,取一长度元dx,假设棒的质量密度为λ,则长度元的质量为dm=λdx,根据转动惯量计算公式:
得到
将 λl=m 代入上式,得
模型2
长为L的细棒,旋转中心通过细棒的一端A并与细棒垂直,如下图所示。

同理可得出
将 λl=m 代入上式,得
模型3
半径为R的质量均匀的细圆环,质量为m,旋转中心通过圆心并与环面垂直

取一长度元dx,假设棒的质量密度为λ,则长度元的质量为dm=λdl,根据转动惯量计算公式:
得到
将λ=m/2πR代入上式,得
模型4
质量为m、半径为R、厚度为h的圆盘或实心圆柱体,绕轴心转动

取任意半径为r,宽度为dr的薄圆环,设ρ为圆盘的密度,dm为薄圆环的质量,则此圆环转到的惯量为
代入得
可得
按照此公式,直径为D的圆柱体绕中心轴旋转的惯量为:
其中L为圆柱长度,ρ为密度
模型5
丝杆带动的负载惯量
注:式中Pb为丝杠导程(螺距)
总结
模型1与模型2可以应用于均匀的长条形或棒状负载结构的惯量计算。
模型3可应用于同步轮负载结构的惯量计算。
模型4可应用于丝杆本身惯量的计算或圆柱体结构的惯量计算。
模型5可应用于丝杆带动的负载惯量计算。
注:常见刚体惯量计算助记

1.2伺服驱动系统中,常见5种传动机构的负载惯量计算方法
在上述五种模型的基础上,可以给出伺服驱动系统中,常见5种传动机构的负载惯量计算方法(丝杆机构、同步带轮机构,齿轮齿条结构、圆盘结构、长臂结构)
丝杆结构

丝杆惯量
![]()
联轴器惯量
![]()
丝杆上负载惯量
![]()
加速力矩

匀速力矩
![]()
总力矩
![]()
![]()
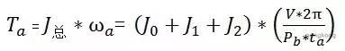
同步带轮/齿条结构


负载惯量
![]()
皮带惯量
![]()
同步轮/齿轮惯量
![]()
匀速力矩
![]()
加速力矩

总力矩
![]()
![]()
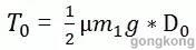
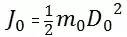
转盘结构
转盘惯量

联轴器惯量
![]()
加速力矩

![]()
长臂结构

长臂惯量
![]()
负载惯量
![]()
加速力矩

![]()
2 计算选型举例
雷赛公司的交流伺服电机一般有不同惯量的型号可供用户选用,如60、80机座电机都有中惯量和小惯量两种。下面通过两个常见案例的负载惯量计算,合理电机选型,来说明减小惯量不匹配的方法。
2.1丝杆结构
已知:负载重量m=200kg,螺杆螺距P_b=20mm,螺杆直径D_b=50mm,螺杆重量m_b=40kg,摩擦系数µ=0.002,机械效率η=0.9,负载移动速度V=30m/min,全程移动时间t=1.4s,加减速时间t1=t3=0.2s,静止时间t4=0.3s。请选择满足负载需求的最小功率伺服电机。

01 计算折算到电机轴上的负载惯量
重物折算到电机轴上的转动惯量

螺杆转动惯量

总负载惯量
![]()
02 计算电机转速
电机所需转速

03 计算电机驱动负载所需要的扭矩
克服摩擦力所需转矩

重物加速时所需转矩

螺杆加速时所需要转矩

所需最大转矩
![]()
选定电机方案:
运动系统总惯量为145.29 kg*cm^2,需要最大转矩为12.686Nm。雷赛ACM13030M2E-51-B电机,额定转速2500RPM,额定力矩12NM,转子惯量29 kg*cm^2,负载惯量比=145/29≈5倍,符合要求。
2.2 同步轮结构
已知:快速定位运动模型中,负载重量M=5kg,同步带轮直径D=60mm,D1=90mm,D2=30mm,负载与机台摩擦系数µ=0.003,负载最高运动速度2m/s,负载从静止加速到最高速度时间100ms,忽略各传送带轮重量,选择伺服电机。

01 计算折算到电机轴上的负载惯量

02 计算电机驱动负载所需要的扭矩
克服摩擦力所需转矩

加速时所需转矩

03 所需转矩
![]()
04 计算电机所需要转速
![]()
选定电机方案:
由上述计算结果,可选择雷赛伺服电机ACM6006L2H(额定转矩1.9NM,额定转速3000RPM,电机惯量0.6 kg*cm^2),惯量比为:5 / 0.6=8.3倍。
笔者在一些客户现场发现, 有部分用户选用了以下型号电机:ACM6004L2H(额定力矩1.27NM,峰值转矩3.81NM,额定转速3000RPM,电机惯量0.42 kg.cm^2)。如果选择了此方案,系统惯量比为5/0.42=11.9倍,动态响应性能及定位完成时间都会比选择ACM6006L2H伺服方案要差,合理的惯量比对整个运动系统的动态性能有很大的提升。
3 结论
伺服驱动系统中,常见传动机构有五种:丝杆机构、同步带轮机构,齿轮齿条结构、圆盘结构、长臂结构。工程师宜熟练掌握各种机构的负载惯量计算方法。在此基础上,才能正确计算惯量比。要提高伺服系统的快速响应特性,首先必须提高机械传动部件的谐振频率,即提高机械传动部件的刚性和减小机械传动部件的惯量。其次通过增大阻尼压低谐振峰值也能提高快速响应特性创造条件。第三,如果负载惯量较大时,可以考虑采用减速机构,实现负载惯量与电机惯量之间的惯量比在合适范围。在部分应用案例中,也可以考虑选用惯量更大的电机,来满足降低惯量比,提高加速性能和稳定性的要求。
最后,伺服驱动控制算法很多新技术的成功应用,也为伺服系统更高精度、高平稳性运行提供了可能。