万能分度头常用的分度方法【技巧】
分度头是铣床的重要附件之一,常用来安装工件铣斜面,进行分度工作,以及加工螺旋槽等。
分度头的作用:
1) 用各种分度方法(简单分度、复式分度、差动分度)进行各种分度工作。
2)把工件安装成需要的角度,以便进行切削加工(如铣斜面等)。
3)铣螺旋槽时,将分度头挂轮轴与铣床纵向工作台丝杠用“交换齿轮”联接后,当工作台移动时,分度头上的工件即可获得螺旋运动。
1 万能分度头的结构
图1为常用的分度头结构,主要由底座、转动体、分度盘、主轴等组成。主轴可随转动体在垂直平面内转动。通常在主轴前端安装三爪卡盘或顶尖,用它来安装工件。转动手柄可使主轴带动工件转过一定角度,这称为分度。

图1 万能分度头结构图
1分度手柄 2分度盘 3顶尖 4主轴 5转动体 6底座 7扇形夹
分度头的安装与调整:
1 . 分度头主轴轴线与铣床工作台台面平行度的校正 如图2 所示,用直径40mm 长400mm 的 校正棒插入分度头主轴孔内,以工作台台面为基准,用百分表测量校正棒两端,当两端 值一致时,则分度头主轴轴线与工作台台面平行。

图2
2. 分度头主轴与刀杆轴线垂直度的校正如图3 所示,将校正棒插入主轴孔内,使百分 表的触头与校正棒的内侧面(或外侧面)接触,然后移动纵向工作台,当百分表指针稳定 则表明分度头主轴与刀杆轴线垂直。

图3
3. 分度头与后顶尖问轴度的校正先校正好分度头,然后将校正棒装夹在分度头与后顶尖 之间以校正后顶尖与分度头主轴等高,最后校正其同轴度,即两顶尖间的轴线平行于工作台台面且垂直于铣刀刀杆,如图4。

图4
2 简单分度方法
根据图5所示的分度头传动图可知,传动路线是:手柄→齿轮副(传动比为1:1)→蜗杆与蜗轮(传动比为1:40)→主轴。可算得手柄与主轴的传动比是1:1/40,即手柄转一圈,主轴则转过1/40圈。

图5 万能分度头的传动示意图
1螺旋齿轮传动 2主轴 3刻度盘 4蜗轮传动
5齿轮传动 6挂轮轴 7分度盘 8定位销
如要使工件按Z等分度,每次工件(主轴)要转过1/z转,则分度头手柄所转圈数为n转,它们应满足如下比例关系:

即 
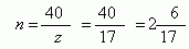
可见,只要把分度手柄转过40/Z转,就可以使主轴转过1/Z转。例:现要铣齿数Z=17的齿轮。每次分度时,分度手柄转数为:
![]()

图6 分度盘
这就是说,每分一齿,手柄需转过2整圈再多转6/17圈。此处6/17圈是通过分度盘(图6)来控制的。国产分度头一般备有两块分度盘。分度盘正反两面上有许多数目不同的等距孔圈。
第一块分度盘正面各孔圈数依次为:24、25、28、30、34、37;
反面各孔圈数依次为:38、39、41、42、43。
第二块分度盘正面各孔圈数依次为:46、47、49、51、53、54;
反面各孔圈数依次为:57、58、59、62、66。
分度前,先在上面找到分母17倍数的孔圈(例如有:34、51)从中任选一个,如选34。把手柄的定位销拔出,使手柄转过2整圈之后,再沿孔圈数为34的孔圈转过12个孔距 。这样主轴就转过了1/17转,达到分度目的。
为了避免每次分度时重复数孔之烦和确保手柄转过孔距准确,把分度盘上的两个扇形夹1、2之间的夹角(图7?10)调整到正好为手柄转过非整数圈的孔间距。这样每次分度就可做到快又准。
上述是运用分度盘的整圈孔距与应转过孔距之比,来处理分度手柄要转过的一个分数形式的非整数圈的转动问题。这种属简单分度法。生产上还有角度分度法、直接分度法和差动分度等方法。