数控花键轴铣床操作方法及步骤【图解】

数控花键轴铣床操作方法及步骤【图解】

图1所示工件的圆柱体部分已经车削完成,要求铣加工矩形花键齿。
IMG_256 

【操作步骤】

1.读图

该花键轴的外径为φ40mm,内径为φ30mm,花键的高为5mm,宽为8mm,花键长120mm,轴的两端各有直径φ25mm、长 30mm 的轴头,铣削前应加工φ25mm 和φ40mm 的圆,由车削完成。

该工件是一根外径定心的轴,花键为矩形。在铣床上铣花键,有单刀铣削、组合铣刀铣削及成型铣刀铣削三种方法。

2.铣削加工

(1)选择刀具、切削用量

选用φ80mm×8mm×27mm的三面刃铣刀。在X6132型铣床上安装好三面刃铣刀,调整主轴转数为118r/min,进给速度为95mm/min。

(2)工件的装夹和校正

先把工件的一端装夹在铣床分度头的三爪自定心卡盘内,另一端用尾座顶尖顶紧,然后用百分表按下列三个方面进行校正。

① 工件两端的径向跳动量。

② 工件的上母线相对于纵向工作台移动方向的平行度。

③ 工件的侧母线相对于纵向工作台移动方向的平行度。

(3)对刀

将铣刀端面刃与工件侧面轻微接触,退出工件。横向移动工作台,使工件向铣刀方向移动距离S:

式中,b为键宽,mm;D为花键轴外径,mm。

(4)铣削键侧

铣床先铣削键侧的一面,依次分度将同侧的各面铣削完,然后将工作台横向移动,再铣削键的另一侧面。在一般情况下,铣削键侧时,取实际切深(即键齿高度)比图样尺寸大0.1~1.2mm。

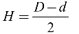
(5)铣削槽底圆弧面

采用小直径锯片铣刀铣削,先将铣刀对准工件轴心,然后调整吃刀量H:

铣床每铣削一刀后,摇动分度手柄,使工件转过一个小角度,再继续铣削。每次转过的角度越小,槽底圆弧越精确。

数控花键轴铣床是一种工业设备,采用数控系统进行控制,伺服电机实现进给的新型数控控制方式,采用以往的滚铣加工方式加工各种齿形的花键轴工件

花键铣床结构特点: 机器概述: 

   y631k  花键轴铣床采用滚铣加工各种齿形的花键轴工件。也可滚铣直齿连轴齿轮和直齿轮,并可加工锥度花键及台阶齿轮。数控花键轴铣床各机械系统及部件具有较高的动、自动花键轴铣床静刚性,Y631K花键铀铣床是利用滚铣方法加工直槽花键铀 花键轴铣床-花键铣床也可滚铣直齿连轴齿轮和直齿轮,并可加工锥度花键及台阶齿轮。数控花键轴铣床各机械系统及部件具有较高的动、静刚性,刀具驱动采用功率大、运转平稳的交流变频电机。自动窜刀装置及高效干式切削可保证工件的加工质量和效率。数控花键轴铣床适用于汽车、拖拉机、齿轮加工等相关机械制造行业。是大批量生产花键轴、齿轮的高效率机床。

 

 

 

 

 

 

 

 

 

 

 

 

服务机械行业22年 - 专业权威积淀,品牌优势传承