UG方程曲线及详细表达式【详解】
在UG中利用【规律曲线】|【根据方程】绘制各种方程曲线:
1、极坐标(或柱坐标r,θ,z)与直角坐标系(x,y,z)的转换关系:
x=r*cos(θ);y=r*sin(θ);z=z
2、球坐标系(r,θ,φ)与直角坐标系(x,y,z)的转换关系:
x=rsinθcosφ;y=rsinθsinφ;z=rcosθ
在UG表达式中输入的theta=θ;phi=φ;r=rho
【注:所有UG表达式中,必须先在名称栏输入t,公式栏输入0,类型为恒定的,即无单位。t是UG自带的系统变量,其取值为0~1之间的连续数】
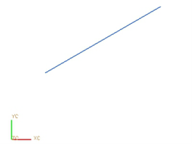
1.直线
直线的数学方程为y-y0=tan(θ)*(x-x0),若直线经过点(10,20),倾角θ为30°,长度L为40,即UG表达式为:
theta=30
L=40
xt=10+L*cos(theta)*t
yt=20+L*sin(theta)*t
zt=0
效果如图1

图1
2.圆和圆弧
圆的数学方程为(x-x0)^2+(y-y0)^2=r^2,若圆心坐标为(50,40),半径r为30,即UG表达式为:
r=30
theta=t*360
xt=50+r*cos(theta)
yt=40+r*sin(theta)
zt=0
效果如图2

图2
3.椭圆和椭圆弧
椭圆的数学方程为(x-x0)^2/a^2+(y-y0)^2/b^2=1,若椭圆中心坐标为(50,40),长半轴a为30(在X轴上),短半轴b为20,即UG表达式为:
a=30
b=20
theta=t*360
xt=50+a*cos(theta)
yt=40+b*sin(theta)
zt=0
效果如图3

图3
4.双曲线
双曲线的数学方程为x2/a2-y2/b2=1,若中心坐标为(0,0),实长半轴a为4(在x轴上),虚半轴b为3,y的取值范围为-5~+5内的一段,即UG表达式为:
a=4
b=3
yt=10*t-5
xt=a/b*sqrt(b^2+yt^2)或xt=-a/b*sqrt(b^2+yt^2)
zt=0
做出一半后进行镜像复制,效果如图4

图4
5.抛物线
抛物线I的数学方程为y2=2px,若抛物线的顶点为(30,20)焦点到准线的距离p=8,y的取值范围为-25~+25,即UG表达式为:
p=8
yt=50*t-25+20
xt=(yt-20)^2/(2*p)+30
zt=0
效果如图5-1

图5-1
抛物线II数学参数方程:x=2pt2,y=2pt(其中t为参数)。UG表达式为:
p=8
tt=t*4-2
xt=2*p*tt^2
yt=2*p*tt
zt=0
效果如图5-2
