内孔R值的一般计算方法【技巧】
内孔R值的一般计算方法【技巧】
由于在数控编程中经常要涉及到倒角计算,本文以一个套类零件为例,介绍一下自己在内孔加工中如何对R角进行计算!如下图所示!

一般倒角都是为了减少应力集中,去除毛刺等,向倒直角采用C表示,表示倒角为45°,如C1;倒圆角可采用R进行表示,如图中的R2或R1.5,一般都是四分之一圆弧,这样在编程时比较好理解或计算!
右端直径为40内孔中有一个R2的倒圆角,也就是我们要找第一个基点坐标。在X方向,因为该圆弧是一个四分之一圆弧,那么第一点X=40+2*2=44,在第二点的Z值也就是Z=-2。因此,只要掌握该圆弧为四分之一圆弧,那么X和Z方向都是半径值即可!再加上有倒角指令,有时也不需要详细计算R值,只要按照没倒角之前的图纸编制就可以了!如G01Z-12R2
但是,在编制左端内孔程序时,R12.27的圆弧就不再是四分之一圆弧,那又该如何计算呢?通常不是四分之一的圆弧都会告诉该段圆弧的圆心坐标,如图(-33.93,23.36)。

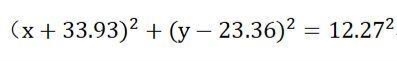
在知道该圆弧的圆心坐标后,可以构建该圆的标准方程,如下:

从图中可以看出,第一点的X坐标不知,但Z=-45为已知,又因该点是直线和圆的交点,所以,你只需把X=-45带入到方程中,即可求出Y,而这个Y就是编程中的X值。或者你直接把圆的方程换算为工件坐标里面的方程,如下:

把Z=-45带入到该方程中,可求的第一点的X=18.074,注意这里是半径值!同样,在求第二点坐标时,你只要把X=13带入到该方程,即可求得Z=-40.5。
最后,简单概括一下,如果R值不是四分之一圆弧时,需要构建该圆弧所在圆的标准方程,然后带入入特殊值,即可求出对应的数值!
服务机械行业22年 - 专业权威积淀,品牌优势传承