冲床下料吨位计算方法【技巧】
冲床计算吨位分为两种:
(1)无斜刃口冲
公式:冲芯周长(mm)×板材厚度(mm)×材料的剪切强度(kn/mm2)=冲切力(KN)
换算成公吨:用KN除以9.81
冲芯周长----任何形状的各个边长相加
材料厚度----指冲芯要冲孔穿透的板材的厚度
材料的剪切强度----板材的物理性质,由板材的材质所决定,可在材料手册中查到。
举例
在3.00mm厚的低碳钢板材上冲孔,形状方形,边长20.00mm
冲芯周长=80.00mm 材料厚度=3.00mm 剪切强度=0.3447kn/mm2
8.00×3.00×0.3447=82.73KN
82.73KN÷9.81=8.43公吨
(2)普通冲床压力计算公式
冲裁力计算公式: p=k*l*t*τ
p——平刃口冲裁力(n);
t——材料厚度(mm);
l——冲裁周长(mm);
τ——材料抗剪强度(mpa);
k——安全系数,一般取k=1.3.
冲剪力计算公式: f=s*l*440/10000
s——工件厚度
l——工件长度
计算冲裁力的目的是为了合理地选用冲床和设计模具。冲床的吨位必须大于所计算的冲裁力,以适应冲裁的要求。
平刃模具冲裁时,其冲裁力F0可按下式计算:
![]()
式中
T——材料厚度,[t]为mm;
r——材料抗剪强度,[τ]为MPa;
L——冲裁周长,[L]为mm。
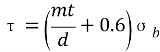
过去一般采用仅与材料性质有关的抗剪强度τ进行计算,实际上冲裁时的抗剪强度不仅与材料性质有关,还与材料硬化程度,材料相对厚度,凸、凹模相对间隙(Z/t)以及冲裁速度有关,可用如下公式计算:

式中
m——与相对间隙有关的系数;
——材料抗拉强度,[τ]为MPa。
在Z/t=0. 15时,m=l.2,故

式中 不同的落料、冲空情况 | τ | ||
Z=0.15t (m=1.2) | Z=0.005t (m=3.0) | ||
落料 | 大零件d≥1000t 中等零件d≥50t 小零件d=(5-10)t | 0.6 0.7 0.8 | 0.65 0.8 (1-1.2) |
冲孔 | 孔径d≤(5-2.5)t 孔d≤(2-1.5)t 孔d=t |
(1.2-1.4) 1.8 | (1.5-1.8) (2.0-2.6) 3.6 |
受模具刃口的磨损,间隙的影响,材料机械性能的变化,材料厚度偏差等诸多因素,实际所需冲裁力还须增加30%,即
![]()